Explaining Supernova Properties by Neutrino-driven Explosions
Principal Investigator:
Prof. Dr. Hans-Thomas Janka
Affiliation:
Max Planck Gesellschaft, Max-Planck-Institut für Astrophysik, Garching, Germany
Local Project ID:
pn25me
HPC Platform used:
SuperMUC-NG at LRZ
Date published:
Stars are cosmic fusion reactors, which gain energy by nuclear reactions of light atomic nuclei to heavier ones. In stars of more than about nine solar masses, a sequence of burning phases thus assembles successively heavier chemical elements, starting from hydrogen fusion to helium as in the Sun, and continuing with helium, carbon, neon, oxygen, and silicon burning until a core of iron builds up at the center of the star. Iron as the atomic nucleus with the highest binding energy per nucleon cannot produce energy by further burning, and thus the growing iron core cannot escape a catastrophic end.
When its mass approaches a critical limit, particle reactions including neutrino production set in and trigger the collapse of the iron core to a neutron star within less than a second. In the formation of such a compact remnant with a diameter of ultimately only 20–30 kilometers, huge amounts of gravitational binding energy are released mostly through neutrinos. Less than one percent of this energy is sufficient to power a supernova explosion that expels the stellar layers around the new-born neutron star into circumstellar space with velocities up to more than 10,000 kilometers per second.
The supernova ejecta do not only contain the heavy chemical elements that the massive progenitor star has bred by nuclear fusion during millions of years of its life, but they also contain new heavy nuclei created by nuclear reactions during the explosion. A fair fraction of these products of explosive nucleosynthesis are trans-iron elements that cannot be made by stellar fusion reactions. Also radioactive isotopes of titanium, aluminium, and of iron-group nuclei, for example of nickel, are ejected. Their energy release by radioactive decays powers the bright electromagnetic emission of the supernova phenomenon for years. Due to radioactivity of the longer-living species, they also serve for supernova diagnostics, especially as important probes of the physical processes that take place at the origin of the explosion.
Supernovae play a crucial role for the enrichment of the universe with heavy elements in the so-called baryon cycle, where new generations of stars are born from the supernova-inseminated gas of the preceding stellar generations. Energy, momentum, and shock-wave accelerated cosmic rays released by stellar explosions have an important influence on the dynamical evolution of galaxies. Supernovae as the violent end stages of stellar evolution are the birth sites of neutron stars and stellar-mass black holes, whose terminal collisions in binaries were the first-ever detected sources of gravitational waves. Moreover, due to the extreme conditions of density and temperature at their centers, supernovae are unique cosmic laboratories for nuclear and particle physics, which permit to study the properties of ultra-dense matter and processes involving neutrinos and non-standard particles at conditions that cannot be reached in any terrestrial experiment.
For all these reasons it is an important task of supernova theory to better understand the physics of this fascinating phenomenon and to predict (a) which stars explode or collapse to black holes without concomitant explosion, and (b) the associated consequences in order to interpret the observed properties of supernovae and their compact and gaseous remnants. Because of the enormous complexity of the physical processes, theoretical predictions are mainly based on detailed numerical simulations. The simulations need to self-consistently model the hydrodynamics of the stellar plasma in three spatial dimensions including the crucial effects of neutrinos, which transport energy, momentum as well as electron and muon lepton number out of the hot, newly forming neutron star. The simulations must also take into account all relevant nuclear and neutrino reactions.
Such 3D simulations are among the most challenging and computing-time consuming numerical calculations performed in contemporary theoretical astrophysics. They are only feasible with the power of massively parallel supercomputers, and they are the task of the scientific project described here, carried out on SuperMUC-NG and partially based on results previously obtained with computing resources on SuperMUC. Because the progenitor’s mass and pre-collapse structure have an important influence on the outcome, core-collapse simulations must be conducted for a wide spectrum of evolutionary stellar models, and they have to the continued over long evolution periods to determine the observable properties of supernovae. Hydrodynamics and neutrino transport have to be applied for time scales of several seconds to cover the neutrino-emission phase of the hot neutron star, and pure hydrodynamics for many more minutes to hours until the supernova shock finally breaks out from the star’s surface.
We performed our simulations with the Prometheus-Vertex code, which is a state-of-the-art neutrino-hydrodynamics program for supernova simulations. The Prometheus module for Newtonian hydrodynamics is based on a higher-order finite-volume (Godunov-type) scheme for conservative, time-explicit integration of the Euler equations for mass, momentum, energy, electron-lepton number, and a chosen set of chemical elements, using an exact Riemann solver. The Vertex module handles the neutrino-energy and fluid-velocity dependent neutrino transport and solves the coupled energy and momentum equations of all neutrino species, i.e., electron neutrinos, antineutrinos, and one, two, or four separately treated species of heavy-lepton neutrinos. The variable Eddington tensor for closing the two-moment set of equations is computed from the Boltzmann equation, whose solution is iterated for convergence with the moment equations. The transport solver works with implicit time integration, which permits time steps up to about 100 times longer than the hydro steps. A ray-by-ray method allows for extremely efficient parallelization of the transport in multi-D applications. General relativistic corrections are taken into account in the transport and in the source terms for gravity applied in the hydrodynamics equations. The code contains the world-wide most comprehensive and detailed treatment of all relevant neutrino interactions including those with muons. It is also supplemented with a small nuclear network to follow the chemical composition changes due to nuclear reactions. A set of modern equations of state is available to describe the thermodynamics of the stellar plasma for densities ranging from the super-nuclear interior of neutron stars to the conditions in the low-density circumstellar medium.
For more efficient long-term 3D simulations with neutrino physics, we developed the NEMESIS scheme (Neutrino-Extrapolation Method for Efficient SImulations of Supernova explosions; [1]). This new scheme is computationally less expensive (saving up to a factor 10 in computing time) and permits larger time steps, because the evolution inside the new-born neutron star is not followed in detail, whereas the treatment still takes into account the contraction of the compact remnant, its radiation of neutrinos (using results from 1D neutron-star cooling simulations), and the neutrino interactions in the surrounding medium, which power the blast wave.
Our set of supernova simulations spans a mass range from 9 to 20 solar masses (Figure 1). It includes several cases where the stellar collapse and early explosion phase had been computed with resources from previous LRZ and Gauss projects [2,3] and that could now be extended to later evolution times by the application of the NEMESIS scheme [1,4].
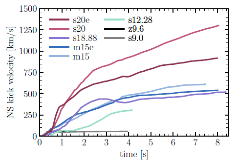
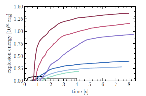
The simulations are able to explain the kick velocities that neutron stars receive by the recoil associated with highly asymmetric matter ejection in the explosion and by asymmetric neutrino emission [4]. We obtained velocities between a few 10 km/s for neutron stars born in supernovae of low-mass progenitors and more than 1000 km/s for heavier neutron stars formed during the explosions of massive progenitors (Figure 2). The lowest velocities are mainly caused by asymmetric neutrino emission, because low-mass progenitors explode with low energies or nearly spherically or both. In contrast, the higher velocities are a consequence of asymmetric mass ejection in the more energetic supernova explosions of higher-mass progenitors. The explosion energies in our set of models saturate partially only after several seconds of neutrino heating of ejected matter and range from 5·1049 erg to nearly 1.3·1051 erg (Figure 3). Both the neutron-star kick velocities and the explosion energies are in good agreement with observations of pulsars and the majority of supernovae, respectively. Since our long-term simulations cover the evolution phase that is relevant for nuclear reactions and for neutrino-induced nucleosynthesis, we have started to analyze our explosion models for the chemical-element production in ejected matter, applying a large nuclear reaction network in post-processing the hydrodynamic results. A first piece of work focused on the formation of radioactive 56Ni and 44Ti, both of which are crucial for supernova diagnostics [5]. Again, the results are in auspicious agreement with observations and offer a solution of the long-standing problem that spherically symmetric (1D) explosion models underproduce 44Ti compared to the measured values.
Our project defines only a starting point for exploring the vast diversity of supernova explosions connected with progenitor stars of different birth masses. Also the stellar metallicity (i.e., the amount of chemical elements heavier than hydrogen and helium in the gas of the star at its formation) and the stellar rotation are important degrees of freedom to be varied. Moreover, the mass-loss or mass-gain histories by stellar winds and binary interaction play important roles in defining the pre-collapse properties of supernova progenitors. Future studies therefore need to investigate much larger sets of models. This will require resources that can be provided only by the next generation of massively parallel supercomputers. Meanwhile we will post-process our entire set of explosion models for the chemical element formation due to nuclear and neutrino reactions. And we will extend the hydrodynamical explosion modeling until the shock penetrates the stellar surface in order to facilitate the computation of supernova light curves and spectra.
[1] D. Kresse, “Towards Energy Saturation in Three-dimensional Simulations of Core-collapse Supernova Explosions”, PhD Thesis, TUM (2023).
[2] G. Stockinger et al., MNRAS 496 (2020) 2039–2084.
[3] R. Bollig et al., ApJ 915 (2021) 28.
[4] H.-Th. Janka & D. Kresse, Ap&SS 369 (2024) 80.
[5] A. Sieverding, D. Kresse, & H.-T. Janka, ApJL 957 (2023) L25.
[6] H.-Th. Janka, ARNPS 75 (2025) 425–461.
[7] Data available upon request at https://wwwmpa.mpa-garching.mpg.de/ccsnarchive/

Figure 1: Overview of our current set of self-consistent 3D supernova models for progenitor stars of different masses as indicated by the model names in the left upper corner of each panel; the numbers are the stars’ birth masses in solar masses. The plots show vertical cuts of the color codes entropy distribution typically at several seconds after the neutron star (invisibly small at the center) has started to form (time given in the top right corner of each panel) and close to the stage when the explosion energy has saturated (Figure 3).

Figure 2: Kick velocities of the neutron stars as functions of time. They range from several 10 km/s to more than 1000 km/s, explaining the measured space velocities of pulsars. The numbers in the model names mean the star’s birth mass in solar masses.

Figure 3: Explosion energies of our supernova models as functions of time. They vary between about 5·1049 erg and nearly 1.3·1050 erg (1 erg = 10–7 J), well covering the range of most observed supernovae. For model names and masses, see Figure 2.