Hadronic Interactions and Spectroscopy in Lattice QCD with Wilson Quarks
Principal Investigator:
Prof. Hartmut Wittig
Affiliation:
Institute for Nuclear Physics, PRISMA+ Cluster of Excellence, Johannes Gutenberg University of Mainz, and Helmholtz Institute Mainz, Germany
Local Project ID:
Hintspec
HPC Platform used:
JUWELS Cluster and JUWELS Booster at JSC
Date published:
Quarks and gluons combine in many different ways to form states called hadrons. In recent years, experiments have uncovered exotic hadrons, which do not fit into traditional classifications. Hadrons can be studied using ab initio theory calculations called lattice quantum chromodynamics. In this project, investigations were performed of two different tetraquarks (four-quark systems) containing heavy ‘charm’ quarks.
The protons and neutrons that form atomic nuclei in ordinary matter belong to a larger class of particles called hadrons. According to the well-established theory of the strong nuclear force, quantum chromodynamics (QCD), hadrons are themselves built from elementary matter particles called quarks and antiquarks, bound by force-carrier particles called gluons. Since QCD is a notoriously difficult theory to work with, hadrons were historically classified using quark models. According to these models, hadrons are either quark-antiquark mesons or three-quark baryons. However, in recent years, so-called exotic hadrons which don't fit into the quark-model picture, have been discovered in experiments at CERN’s Large Hadron Collider. Many of these are tetraquarks with two quarks and two antiquarks, but their structure is still not fully resolved.
The only way to study hadrons using QCD without requiring modelling or approximations is via large-scale numerical simulations called lattice QCD. The four-dimensions of space and time are represented by a discrete regular grid. Although the nonzero lattice spacing a distorts the theory, one can extrapolate away these artifacts by repeating the calculation with finer and finer grids (smaller a).
Lattice QCD simulations are also done in finite boxes of size L, which is actually used to the advantage of this project. Most hadrons are unstable within QCD: they decay to two or more lighter hadrons. This makes it impossible to directly study them. Instead, one investigates how the energies of the decay products (two-hadron systems) are shifted when placed in a finite volume: a downward shift indicates attraction between the two hadrons and an upward shift indicates repulsion. Using a powerful theoretical tool called Lüscher's finite-volume quantization conditions, one can relate the energies in a finite volume to the interaction in infinite volume. From the interaction of the two lighter hadrons, one can then identify any heavier unstable hadrons that decay to them.
In previous work [1], members of the project team performed calculations using three quark flavours (up, down, and strange) with quark masses chosen differently from those in nature. In particular, the masses of the three quarks in the simulations were set to be equal: heavier than the physical up and down quarks and lighter than the physical strange quark. This not only introduced extra symmetry into the theory, but also simplified the treatment. They studied a conjectured six-quark state, the so-called H dibaryon, which would form from the binding of two baryons. With six different values of a, they were able to extrapolate to zero lattice spacing and found a shallow bound state, similar to the nucleus of deuterium (a hydrogen isotope containing one proton and one neutron). Surprisingly, it was found that at nonzero a, the lattice artifacts distorted the binding energy by more than 100%.
The current project extends that work in two directions: taking the first step toward physical quark masses and studying systems with mesons containing a heavy ‘charm’ quark. The focus of this report is the latter. The continued use of several lattice spacings means that the size of the lattice varies from 24³×48 for the largest lattice spacing to 64³×192 for the smallest lattice spacing.
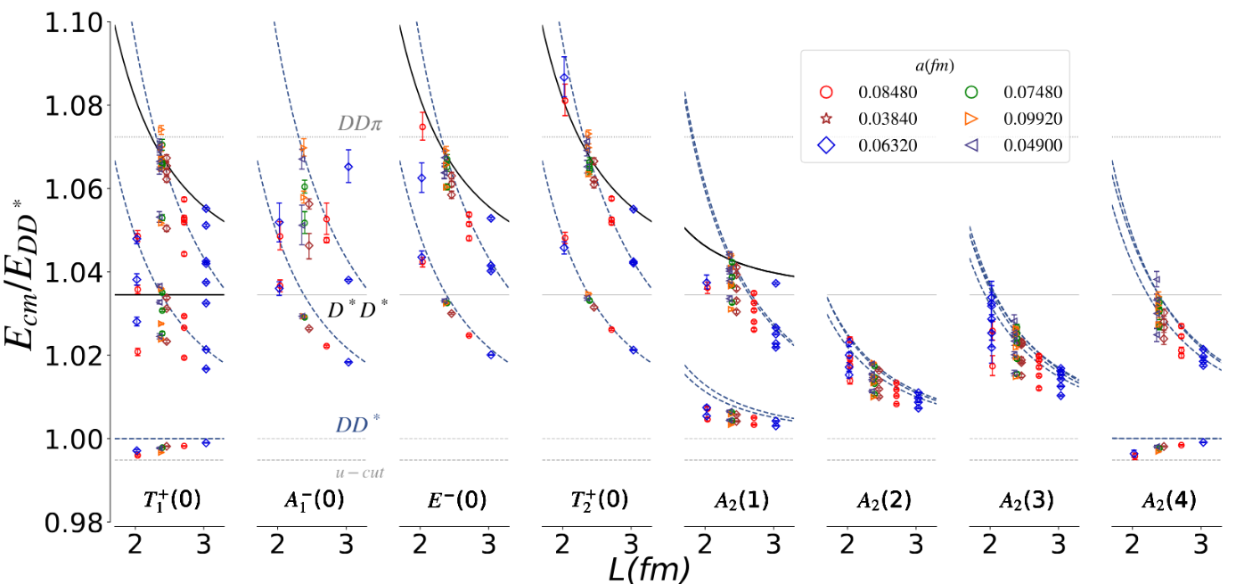
The tetraquark Tcc (3875) discovered by the LHCb experiment at the Large Hadron Collider in 2021, is the longest-lived exotic hadron. Its minimal quark content is charm, charm, anti-up, and anti-down. For the project team's choice of quark masses, it is expected to couple to two mesons called D and D* and, each containing a charm quark and an up or down antiquark: either they will bind to form a Tcc, or a Tcc will decay to them. Preliminary results for the finite-volume energies are shown in Figure 1. The energy shifts are generally negative, indicating attractive interactions. However, as this compute project was finishing it was realized that the analysis of the finite-volume energies was not completely accurate. An improved analysis shifts some of the energies slightly further downward [2]. The application of this new method to the full dataset is being finalized and the project team is proceeding with finite-volume quantization conditions to discover the nature of the Tcc at this set of quark masses.

Figure 1: Finite-volume energy levels of the DD* system. The curves represent noninteracting energy levels and the points are the results of the lattice QCD simulations..
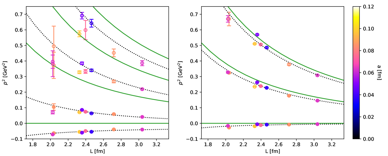
Another target of this study is a meson called D*0 (2300), which decays to a D meson and a pion. The latter is the lightest meson, made from up and down (anti)quarks. It has been suggested that, rather than a single state as was long thought, the D*0 is actually two different mesons which can be distinguished by their symmetry properties when the up, down, and strange quarks have the same mass. This simulation is thus ideally suited for investigating this conjecture. Some preliminary results are shown in Figure 2; attraction is present in both symmetry sectors and two different states were found, confirming the alternative description of this meson.

Figure 2: Finite-volume energy levels of Dπ systems. Left: flavour symmetry antitriplet; right: flavour symmetry sextet. The green curves show the energy levels in the absence of interactions and the dashed curves show a rough fit using finite-volume quantization..
Once these studies are finalized, they will represent just a first step in understanding these exotic hadrons. To make a connection with experimental data, the calculation needs to be repeated with quark masses closer to their physical values. And related hadrons will also be investigated — including some conjectured ones that haven't been found by experiments — in order to obtain more clues about the nature of these states.
[1] Jeremy R. Green, Andrew D. Hanlon, Parikshit M. Junnarkar, and Hartmut Wittig, Weakly bound H dibaryon from SU(3)-flavor-symmetric QCD, Phys. Rev. Lett., 127, 242003, 2021. doi.org/10.1103/PhysRevLett.127.242003
[2] Andres Stump and Jeremy R. Green, Position-space sampling for local multiquark operators in lattice QCD using distillation and the importance of tetraquark operators for Tcc(3875)+. arxiv.org/abs/2510.26459