ELEMENTARY PARTICLE PHYSICS

Elementary Particle Physics

Principal Investigator: Prof. Dr. Zheng Gong , Chinese Academy of Sciences, Institute of Theoretical Physics, Beijing, China

HPC Platform used: JUWELS CPU at JSC

Local Project ID: splpi

Researchers at the Institute of Theoretical Physics, Chinese Academy of Sciences, used the JUWELS supercomputer at Jülich Supercomputing Centre to explore how intense laser pulses interacting with plasma can produce spin-polarized particle beams. By performing large-scale particle-in-cell simulations that track both particle motion and spin dynamics, the project uncovered how magnetic fields, radiation effects, and plasma inhomogeneities shape spin polarization—insights that may guide future experiments and applications in high-energy physics and astrophysics.

Elementary Particle Physics

Principal Investigator: Dr. Francesco Parisen Toldin , Institute for Theoretical Solid State Physics RWTH Aachen University, Aachen, Germany

HPC Platform used: JUWELS CPU at JSC

Local Project ID: critbdy

Critical phenomena occur at the onset of continuous phase transitions, where universality emerges: some observables are independent of the details of the local interactions, and are rather determined by global features, thereby defining universality classes. This project investigates critical phenomena in the presence of surfaces and defects, where rich phase diagrams are anticipated. It includes a quantitative study of the recently discovered extraordinary-log phase in the three-dimensional O(N) model, along with precise numerical estimates of universal coefficients for the three-dimensional Ising model with boundaries.

Elementary Particle Physics

Principal Investigator: Dr. Bastian Brandt , Universität Bielefeld, Fakultät für Physik, Bielefeld, Germany

HPC Platform used: SuperMUC-NG PH1-CPU at LRZ

Local Project ID: pn36ri

The strong interactions as part of the Standard Model of particle physics are described by Quantum Chromo-dynamics (QCD). Due to its strong coupling at typical energy scales in today’s Universe, predictions for strongly interacting matter, such as the one of the quark-gluon plasma, appearing in collisions of heavy nuclei at the Relativistic Heavy Ion Collider (RHIC) and future efforts, cannot be obtained using perturbative methods. The numerical treatment of QCD, discretized on a spacetime lattice – lattice QCD – has proven to be a viable tool to investigate the properties of QCD in the strongly coupled regime.

Elementary Particle Physics

Principal Investigator: Prof. Dr. Andreas Schäfer , Universität Regensburg, Regensburg, Germany

HPC Platform used: SuperMUC-NG PH-1 CPU at LRZ

Local Project ID: pn37vu_pn49ge

Quantum Chromodynamics (QCD) is without any reasonable doubt the correct fundamental theory of the strong interactions between quarks and gluons. Thus, it describes exactly all properties of particles like the proton, which is a bound state of quarks and gluons, so-called hadrons. However, while it is rather straight­forward to calculate all properties of atoms, i.e. bound states of electrons and nuclei, from Quantum Electrodynamics, the theory which describes the electromagnetic force, this is not the case for QCD. In fact, the QCD­equations are so difficult to solve that many or even most properties of hadrons are only poorly understood at the QCD level.

Elementary Particle Physics

Principal Investigator: Prof. Dr. Alexander Pukhov , Heinrich Heine University Düsseldorf, Düsseldorf, Germany

HPC Platform used: JUWELS CPU of JSC

Local Project ID: qed20

Researchers from Heinrich Heine University Düsseldorf have investigated the interaction of high-intensity laser pulses with matter using particle-in-cell simulations. Their research has led to a novel mechanism for compact ion acceleration, a method to generate spin-polarized ion beams, and a potential path to probe quantum electrodynamics.

Elementary Particle Physics

Principal Investigator: Dr. Fernanda Steffens , HISKP – University of Bonn, Germany

HPC Platform used: JUWELS BOOSTER of JSC

Local Project ID: TMDPDF1

We are all made of atoms, different types of atoms, and different combinations of them, which, by their turn, are composed of a cloud of electrons and a nucleus. A nucleus contains at least one proton in its simplest form, the hydrogen atom. Comprehending the proton, the origin of its measured properties, like its mass and electric charge, and its structure is, thus, one of the most important endeavors of the physical sciences. How can we probe/see the proton and its structure?

Elementary Particle Physics

Principal Investigator: Dr. Daniel Seipt , Helmholtz Institute Jena,

HPC Platform used: JUWELS CPU of JSC

Local Project ID: wobble

In a breakthrough that could revolutionize particle accelerators, scientists have discovered how to better control high-energy electron beams using ultra-powerful lasers. This new understanding delves deep into the complex dance between intense laser pulses and the plasma they create, revealing the subtle mechanisms that influence electron beam stability.

Elementary Particle Physics

Principal Investigator: Apl. Prof. Dr. Georg von Hippel , Johannes Gutenberg-Universität Mainz, Institut für Kernphysik, Mainz, Germany

HPC Platform used: JUWELS (CPU nodes) of JSC

Local Project ID: NucStrucLFL

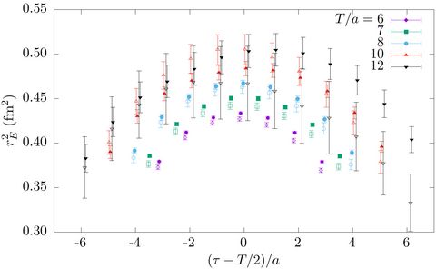
The internal structure of the proton and neutron (collectively known as the nucleon), which form the building blocks of atomic nuclei, still poses many open questions. Not only is it not completely understood how the nucleon’s spin and momentum are composed of those of its constituent particles (the quarks and gluons), but even its size is subject to significant uncertainty arising from discrepancies between different determinations: there is a decade-old inconsistency between the electric charge radius of the proton as obtained from scattering experiments in good agreement with the value from hydrogen spectroscopy on the one hand, and the most accurate determination from the spectroscopy of muonic hydrogen on the other. This significant…

Elementary Particle Physics

Principal Investigator: Prof. Dr. Carsten Urbach , Helmholtz-Institut für Strahlen- und Kernphysik, Universität Bonn, Germany

HPC Platform used: Hawk and HAZELHEN of HLRS

Local Project ID: GCS-HSRP

Collisions of protons and pions are usually observed and measured in particle accelerators. Thanks to today’s powerful supercomputers we can study these elementary particles also in theory, namely based on the core principles of Quantum Chromodynamics. By simulating the fundamental quark and gluon fields on a space-time lattice not only can we investigate why protons (and pions and many other particles) emerge at all from the strong force, but also their reaction with each other, for example in an elastic collision. And sometimes such collisions bring forth entirely new, short-lived particles, like the Δ resonance. Our project is dedicated to applying the Lattice QCD method to track from fundamental quarks and gluons to the Δ particle.

Elementary Particle Physics

Principal Investigator: Dr. Frank Lechermann , Ruhr-Universität Bochum, Germany

HPC Platform used: JUWELS/JURECA at JSC

Local Project ID: chhh08

The MIQS project aims at uncovering demanding orbital-based mechanisms in quantum materials driven by strong electron correlation. First-principles many-body approaches are employed to tackle the challenging electronic states in systems such as superconducting nickelates and layered van der Waals magnets. Complex electronic phases are explored on a realistic level by combining density functional theory and dynamical mean-field theory methods on an equal footing. The high computational power of the JUWELS is needed to address the intriguing many-body physics subject to a large number of degrees of freedom at different temperature scales. Predictions and fathom design routes for novel materials and architecture is an essential part of the…

Elementary Particle Physics

Principal Investigator: Prof. Carsten Urbach , Helmholtz-Institut für Strahlen- und Kernphysik (Theorie) and Bethe Center for Theoretical Physics, Universität Bonn, Germany

HPC Platform used: JUWELS/JURECA/JUQUEEN at JSC

Local Project ID: chbn28

It has been a long-standing dream in nuclear physics to study nuclei like, for instance, carbon directly from Quantum Chromodynamics (QCD), the underlying fundamental theory of strong interactions. Such an endeavor is very challenging both, methodically and numerically. Towards this goal physicists from the European Twisted Mass Collaboration and in particular the University of Bonn have investigated two- and three-hadron systems using the approach of Lattice QCD.

Elementary Particle Physics

Principal Investigator: Prof. Szabolcs Borsanyi , University of Wuppertal, Wuppertal

HPC Platform used: JUWELS GPU/JUWELS BOOSTER at JSC

Local Project ID: hwu34

A research team led by Prof. Szabolcs Borsányi, long-time users of Gauss Centre for Supercomputing (GCS) resources, have leveraged GCS’s world-class computing resources in pursuit of furthering our understanding of the most fundamental building blocks of matter and their respective roles in how the universe came to be.

Elementary Particle Physics

Principal Investigator: Prof. Szabolcs Borsanyi , Universitiy of Wuppertal, Wuppertal

HPC Platform used: JEWELS_CPU JUWELS_BOOSTER at JSC

Local Project ID: heavycrit

A research team based at the University of Wuppertal has benefited from generous shares of Gauss Centre for Supercomputing (GCS) resources. Participating in many consortia involved in gaining a fundamental understanding of the universe’s most basic building blocks, the team combines numerical theory with experiment in pursuit of a richer understanding of how the universe and all that is in it came to be.

Elementary Particle Physics

Principal Investigator: Prof. Zoltan Fodor , University of Wuppertall, Wuppertal

HPC Platform used: Hawk at HLRS

Local Project ID: GCS-denseqgp

With the help of world-class supercomputing resources from the Gauss Centre for Supercomputing (GCS), a team of researchers led by Prof. Zoltan Fodor at the University of Wuppertal has continued to advance the state-of-the-art in elementary particle physics.

Elementary Particle Physics

Principal Investigator: Dr. Daniel Seipt , Helmholtz Institute Jena

HPC Platform used: Juwels CPU at JSC

Local Project ID: qedlwfa

Particle accelerators are among the world’s most effective methods for experiments in materials science and physics. High-intensity, laser-based accelerators are novel accelerator-concepts which are much more compact compared to conventional accelerator facilities. As next-generation facilities with even more powerful lasers begin to come online, researchers must reckon with how these devices can alter plasmas contained in these accelerators through so-called quantum electrodynamic (QED) effects. Researchers predicted how lasers in these facilities would behave, and researchers are now leveraging high-performance computing (HPC) to model these QED effects and compare with experimental data.

Elementary Particle Physics

Principal Investigator: Dr. Roman Höllwieser , University of Wuppertal

HPC Platform used: JUWELS at JSC

Local Project ID: HWU24

Using the JUWELS supercomputer at the Jülich Supercomputing Centre, researchers are simulating the so-called Brout-Englert-Higgs mechanism, or how elementary particles acquire mass.

Elementary Particle Physics

Principal Investigator: Dr. Sara Collins , Universität Regensburg

HPC Platform used: JUWELS at JSC

Local Project ID: charmbaryon

For decades, researchers have turned to the twin power of state-of-the-art particle accelerator facilities and world-class supercomputing facilities to better understand the mysterious world of subatomic particles. These particles are very short lived and are hard to detect with even the most advanced technologies. In recent years, researchers have used the Large Hadron Collider at CERN, among other facilities, to discover new charmed baryons.

Elementary Particle Physics

Principal Investigator: Prof. Dr. Frithjof Karsch , Universität Bielefeld, Faculty of Physics

HPC Platform used: JUWELS Booster at JSC

Local Project ID: chbi20

A research team led by Prof. Frithjof Karsch at Bielefeld University has been using the JUWELS supercomputer at the Jülich Supercomputing Centre (JSC) as part of the international HOTQCD collaboration to better understand the conditions under which particles made of protons, neutrons, and pions go through phase transitions, and how those changes impact the system’s behavior and give rise to new forms of matter, such as quark-gluon plasma.

Elementary Particle Physics

Principal Investigator: Prof Dr. Frithjof Anders , Department of Physics, TU Dortmund University

HPC Platform used: JURECA Booster and JUWELS at JSC

Local Project ID: chdo09

Using high-performance computing (HPC) resources at the Jülich Supercomputing Centre, a team of researchers led by Technical University of Dortmund Professor Frithjof Anders is gaining a better understanding of electrons’ behaviors in so-called quantum dots.

Elementary Particle Physics

Principal Investigator: Prof. Szabolcs Borsanyi , Bergische Universität Wuppertal

HPC Platform used: SuperMUC-NG at LRZ

Local Project ID: pn68ne

In this long term project, which lasted for 6 years and had two stages, we computed the leading order hadronic vacuum polarization contribution to the anomalous magnetic moment of the muon, aLO−HVP, using lattice quantum field theory.

Elementary Particle Physics

Principal Investigator: Prof. Zoltan Fodor , University of Wuppertal

HPC Platform used: SuperMUC-NG at LRZ

Local Project ID: pn72tu

Quarks are the constituents of the massive basic building blocks of visible matter. These building blocks are the hadrons, more precisely protons and neutrons, which are about 2,000 times heavier than electrons. It was a heroic effort to determine the nature of the phase transition for physical quark masses, which our group carried out in 2006 and published in Nature. This finding has fundamental consequences for the early universe and for the possible remnants we might detect even today. Note however, the result has not only relevance for the early universe (Big Bang) but also for heavy ion collisions (Little Bang), which are carried out at the RHIC (Brookhaven, USA) and LHC (Geneva, Switzerland) accelerators.

Elementary Particle Physics

Principal Investigator: Prof. Fakher Assaad , Institute for Theoretical Physics, Würzburg

HPC Platform used: SuperMUC-NG at LRZ

Local Project ID: pr53ju

The defining properties of our numerical research in the domain of correlated electron systems are the notions of emergence and criticality. Emergence only occurs in the thermodynamic limit where the volume of the system is taken to infinity at constant particle number. To investigate this phenomena we use the Algorithms for Lattice Fermion implementation of the auxiliary field quantum Monte Carlo algorithm that allows to simulate a large variety of model systems on importance in the solid state.

 

Elementary Particle Physics

Principal Investigator: Dr. Karl Jansen , DESY Zeuthen

HPC Platform used: SuperMUC-NG at LRZ

Local Project ID: pr74yo

In high-precision low energy particle physics experiments, small but significant discrepancies have been found when compared to expectations from theory. This has substantially increased the interest in precision nucleon structure measurements. Theoretically, strong interaction phenomena are governed by Quantum Chromodynamics (QCD), and at energy scales relevant to the proton structure, the only known way of studying QCD from first principles is via large scale simulations using the lattice formulation.

Elementary Particle Physics

Principal Investigator: Prof. Dr. Francesco Knechtli , Bergische Universität Wuppertal

HPC Platform used: SuperMUC-NG at LRZ

Local Project ID: pn29se

Quantum Chromodynamics (QCD) is the sector of the standard model describing the strong nuclear force, which binds quarks and gluons inside hadrons. The theory confines these constituents, which are never observed directly in experiment. In this project the researchers study charmonium, a system containing a charm quark-anti-quark pair.

Elementary Particle Physics

Principal Investigator: Francesco Knechtli , Bergische Universität Wuppertal

HPC Platform used: SuperMUC and SuperMUC-NG of LRZ

Local Project ID: pn56fo

Quantum Chromodynamics (QCD) is the theory of strong interactions. It explains how quarks and gluons form the composite particles called hadrons which are observed in nature. Hadrons can be studied by means of computer simulations of QCD discretized on a Euclidean lattice. This project focuses on hadrons formed by heavy quarks. The question addressed is the relevance of including virtual charm-quark effects in lattice QCD simulations. This dynamics is challenging since it requires small values of the lattice spacing for reliable extrapolations to zero lattice spacing. It is found that its effects are at the sub-percent level even for quantities like the decay constants of charmonium at an energy scale of about half of the proton mass.

Elementary Particle Physics

Principal Investigator: Kálmán Szabó , University of Wuppertal and Forschungszentrum Jülich, Germany

HPC Platform used: JUWELS of JSC, SuperMUC and SuperMUC-NG of LRZ

Local Project ID: chfz04, pn56bu

Today, large-scale computations of lattice QCD can easily reach a precision of 1% and below—a level at which it is necessary to factor in isospin breaking arising from 1. the presence of the electromagnetic interaction, and 2. the mass difference between up and down quarks. The most prominent consequence of these effects is the mass difference of the neutron and the proton as its numerical value influences the stability of matter: were this difference a bit different from what is measured in experiments, matter would become unstable so that no atoms, molecules and more complex structures could be formed. It was successfully demonstrated that this mass difference can be computed in a common lattice framework of a full QCD + QED calculation.

Elementary Particle Physics

Principal Investigator: Sara Collins , Institute for Theoretical Physics, University of Regensburg

HPC Platform used: SuperMUC-NG of LRZ

Local Project ID: pn34xo

Investigating hadron structure, how the quark and gluon constituents account for the properties of hadrons (which include neutrons and protons), is challenging due to the nature of the strong interaction. However, such information is crucial for exploiting experiments that are searching for evidence of the physics that lies beyond our current understanding of particle physics (that is encapsulated in the Standard Model) as these experiments often involve protons and neutrons in some way. Hadron structure observables can be computed via large-scale numerical calculations. This project determines key quantities on a fine lattice with physical quark masses, enabling reliable results to be extracted.

Elementary Particle Physics

Principal Investigator: Dénes Sexty , Bergische Universität Wuppertal, IAS/JSC Forschungszenturm Jülich

HPC Platform used: JUQUEEN and JUWELS of JSC

Local Project ID: chwu32

At high temperatures the nuclear matter melts into a plasma state. This phase transition is expected to have a “critical point” for systems which have increasingly more protons than antiprotons. The search for this elusive critical point on the QCD phase diagram is one of the greatest challenges in today’s high energy physics, both in theory and in experiment. The calculations of the theory at non-zero densities in supercomputers are hampered by the sign-problem. In this project multiple research tracks were pursued and the methods that deal with the sign-problem and search for signals of the critical point on the phase diagram were developed.

Elementary Particle Physics

Principal Investigator: Jeremy Green , Theoretical Physics Department, CERN, Geneva, Switzerland

HPC Platform used: JUQUEEN and JUWELS of JSC

Local Project ID: chmz37

Protons are composite particles: bound states of quarks and gluons, as described by the theory of quantum chromodynamics (QCD). Using lattice QCD, we know in principle how to use supercomputers to compute various properties of the proton such as its radius and magnetic moment, however this is very challenging in practice. A major part of this project was devoted to developing and studying methods for more reliable calculations, in particular for obtaining more accurate results in a finite box and for better isolation of proton states.

Elementary Particle Physics

Principal Investigator: Karl Jansen , Deutsches Elektronen-Synchrotron (DESY), Zeuthen

HPC Platform used: SuperMUC and SuperMUC-NG of LRZ

Local Project ID: pr74yo

In this project the most inner structure of the proton has been deciphered through a large-scale numerical simulation of quantum chromodynamics. This could be achieved by novel algorithms developed by the project team. In particular, the project made a large leap forward to solve the spin puzzle of the proton. While theory predicted a dominant contribution to the spin of the proton from the quarks, in experiments it was found that this contribution is surprisingly small. The research team found out that it is actually the gluon which is contributing a large fraction of the spin. Although still a number of systematic uncertainties have to be fixed, this is a most remarkable result which will lead to eventually resolve the proton spin puzzle.

Elementary Particle Physics

Principal Investigator: André Sternbeck , Institute for Theoretical Physics, Friedrich-Schiller-University Jena

HPC Platform used: SuperMUC and SuperMUC-NG of LRZ

Local Project ID: pr48ji

Super-Yang-Mills theory is a central building block for supersymmetric extensions of the Standard Model. While the weakly coupled sector can be treated within perturbation theory, the strongly coupled sector must be dealt with a non-perturbative approach. Lattice regularizations provide such an approach but they break supersymmetry and hence the mass degeneracy within a supermultiplet. Researchers of Uni Jena study N=1 supersymmetric SU(3) Yang-Mills theory with a lattice Dirac operator with an additional parity mass. They show that a special 45° twist effectively removes the mass splitting at finite lattice spacing–thus improves the continuum extrapolation—and that the DDαAMG algorithm accelerates such lattice calculations considerably.

Elementary Particle Physics

Principal Investigator: Zoltán Fodor , University of Wuppertal

HPC Platform used: JUQUEEN and JUWELS (JSC), Hazel Hen (HLRS), SuperMUC and SuperMUC-NG (LRZ)

Local Project ID: chwu08, GCS-POSR, pn34mu

The Universe was just a few microseconds old when the gradually cooling matter organized itself into the massive particles that form much of the visible matter today, protons and neutrons. The fascinating world of the hot Universe is recreated in huge particle accelerators. These experiments go beyond the study of the primordial world, as they can probe a whole new dimension by tuning the balance of particles vs antiparticles. This imbalance, the net baryon density, could be tuned to the extreme, as that can be found in neutron stars. Researchers of Uni Wuppertal launched a large scale simulation project to calculate how baryon density impacts temperature where today's particles emerge from the primordial plasma.

Elementary Particle Physics

Principal Investigator: Andreas Schäfer , Institute for Theoretical Physics, Regensburg University

HPC Platform used: SuperMUC and SuperMUC-NG of LRZ

Local Project ID: pn56yo

The nucleon has an extremely complicated many-body wave function because QCD is very strongly coupled, very non-linear and characterized by massive quantum fluctuations. Its investigation started with collinear processes and has by now progressed to non-collinear ones. The latter are characterized by non-trivial parallel transport, leading to observable effects. Many of these are described by TMDs the properties of which are not yet well understood and are planned to be studied at the new Electron Ion Collider. We have calculated one of the most important of these properties on the lattice. Only in 2020, first lattice calculations, all using alternative approaches, of this quantity were published. All results agree within error.

Elementary Particle Physics

Principal Investigator: Bin Liu , Helmholtz Institute, Jena

HPC Platform used: JUWELS of JSC

Local Project ID: iwba2layer

Generating high energy ions by irradiating an ultra-intense laser pulse on a foil-coated foam-like double-layer plasma target is investigated with the help of particle-in-cell simulations. The foil is ultra-thin so that the incident laser pulse can penetrate through it. The acceleration of ions happens in the foam when the density of the foam is in the laser-induced relativistic-transparent regime. Simulations show that a proton beam with peak energy beyond 150 MeV is generated by using a 16 Joule laser pulse. The laser pulse used in the simulation is already available, and the targets can be prepared with the current technology. This simulation work provides helpful information for the further experiments and related applications.

Elementary Particle Physics

Principal Investigator: Andreas Schäfer , Institute for Theoretical Physics, Regensburg University

HPC Platform used: SuperMUC and SuperMUC-NG of LRZ

Local Project ID: pn69ma

Lattice QCD enables calculation of many details of quark-gluon bound states like the proton. One first parameterizes all properties of, e.g., the proton by certain parameters and functions. Next, one links experimental observables to these quantities and clarifies their meaning. In recent years, lattice calculations have become a valid alternative to performing experiments to determine these quantities. We have calculated the quantity d2, which characterizes certain spin-dependent effects and is linked to the color force exerted on quarks in a proton or neutron. Non-trivial renormalization properties make this an especially difficult quantity to calculate, but this project was successful in doing so with results that agree with experiment.

Elementary Particle Physics

Principal Investigator: Zoltán Fodor , Bergische Universität Wuppertal

HPC Platform used: JUWELS of JSC

Local Project ID: chwu16

Recent cosmological observations tell us that only a small part of the matter content of the Universe is coming from ordinary particles, e.g. protons and neutrons. We call the rest dark matter. But what constitutes this invisible ingredient of the Universe? A possible candidate is the so called axion, for which a mass limit was worked out in the prequel of this project. To learn more on the features of this hypothetical particle its dynamics was investigated through a link to the strong interactions.

Elementary Particle Physics

Principal Investigator: Hartmut Ruhl, Karl-Ulrich Bamberg , Ludwig-Maximilians-Universität München, Faculty of Physics, Chair for Computational and Plasma Physics

HPC Platform used: SuperMUC and SuperMUC-NG of LRZ

Local Project ID: pr74si

The availabiltiy of ultra-short, high-power lasers has led to greater interest in their potential use for accelerators, as the charge separation in plasmas can induce enormous electromagnetic field strengths on a sub-micrometer scale. With the high performance and extreme scalability of the Plasma Simulation Code (PSC) for fully kinetic simulations, a wide field of applications was researched: From ions for medical purposes (Ion Wave Breaking Acceleration and Mass-Limited Targets) to breakthrough Lepton acceleration by proton-driven wakefields (AWAKE), all the way to radiation generation (attosecond X-ray pulses from Ultra-Thin Foils). Even QED based approaches were covered in this project.

Elementary Particle Physics

Principal Investigator: Harvey Meyer , Johannes Gutenberg University Mainz

HPC Platform used: JUQUEEN and JUWELS of JSC

Local Project ID: chmz36

Although Quantum Chromodynamics (QCD) has long been established as the correct theory of the subatomic strong interaction, obtaining quantitative predictions from it often represents a challenging computational task. In this project, large-scale lattice QCD simulations are used to determine structural properties of protons and neutrons. The lattice approach to QCD amounts to discretizing space-time and applying importance-sampling techniques to the path-integral representation of QCD. One specific observable under scrutiny in this project is the “scalar matrix element” of the proton, which provides a quantitative answer to the question of “How much would the proton mass change if the light quark masses changed by a small amount?”.

Elementary Particle Physics

Principal Investigator: Hartmut Wittig , Institute for Nuclear Physics and PRISMA Cluster of Excellence, Johannes Gutenberg University of Mainz

HPC Platform used: Hazel Hen and HAWK of HLRS

Local Project ID: GCS-HQCD

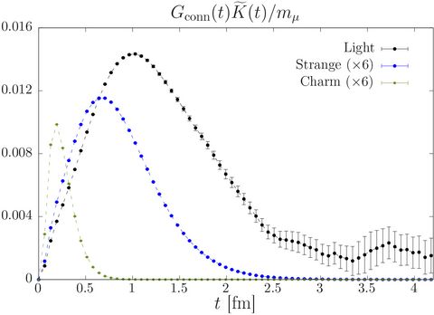
The Standard Model of Particle Physics is a highly successful theoretical framework for the treatment of fundamental interactions, but fails to explain phenomena such as dark matter or the abundance of matter over antimatter. Precision observables, such as the anomalous magnetic moment of the muon, aμ, play a central role in the search for “New Physics”. A promising hint is provided by the persistent tension of 3.7 standard deviations between the theoretical estimate for aμ and its experimental determination. In our project we employ the methodology of lattice QCD to compute the hadronic contributions to aμ from first principles. In the long run, our results will supersede the estimates based on data-driven approaches and hadronic models.

Elementary Particle Physics

Principal Investigator: Ferdinand Evers , Institute of Theoretical Physics, University of Regensburg

HPC Platform used: SuperMUC of LRZ

Local Project ID: pr53lu

The general interest of the researchers of this project is in disordered thin film superconductors within the Boguliubov-deGennes (BdG) theory of the attractive-U Hubbard model in the presence of on-site disorder; the sc-fields are the particle density n(r) and the gap function ∆(r). For this case, system sizes unprecedented in earlier work are being reached. They allow to study phenomena emerging at scales substantially larger than the lattice constant, such as the interplay of multifractality and interactions, or the formation of superconducting islands. For example, it is being observed that the coherence length exhibits a nonmonotonic behavior with increasing disorder strength already at moderate interaction strength.

Elementary Particle Physics

Principal Investigator: Frithjof Karsch , Universität Bielefeld, Faculty of Physics

HPC Platform used: JUWELS and JUQUEEN of JSC

Local Project ID: chbi18

Using the vast computing power of the HPC system JUWELS of JSC, an international team of physicists – the HotQCD Collaboration – simulates almost massless quarks and reveals another piece in the puzzle of how hot quarks and gluons behave under extreme thermal conditions.

Elementary Particle Physics

Principal Investigator: Bin Liu, Hartmut Ruhl , Ludwig-Maximilians-Universität München, Faculty of Physics, Chair for Computational and Plasma Physics

HPC Platform used: SuperMUC of LRZ

Local Project ID: pr92na

High-energy ion-beam therapy of tumours has many advantages compared with conventional radiation therapy. Ion beams generated by synchrotron accelerators have been used in many medical institutions. However, a synchrotron accelerator has a large footprint (soccer field size) and is expensive. With the rapid development of high power laser technology, a laser-plasma ion accelerator is a more compact (table-size) and inexpensive alternative. Ion wave breaking acceleration which happens in laser-driven foam-like plasma targets is a promising regime for designing controllable high-energy high-quality ion accelerators. To gain a deeper knowledge on it, researchers carried out 3D simulations on SuperMUC using the Plasma-Simulation-Code (PSC).

Elementary Particle Physics

Principal Investigator: Gerrit Schierholz , Deutsches Elektronen-Synchrotron (DESY), Hamburg (Germany)

HPC Platform used: JUQUEEN and JUWELS of JSC

Local Project ID: chde07

Understanding the internal structure of the nucleon is an active field of research with important phenomenological implications in high-energy, nuclear and astroparticle physics. Nucleon structure functions and their derivatives, parton distribution functions (PDFs) and generalized parton distribution functions (GPDs), teach us how the nucleon is built from quarks and gluons, and how QCD works. Beyond that, the cross section for hadron production at the LHC relies upon a precise knowledge of PDFs.

Elementary Particle Physics

Principal Investigator: Owe Philipsen , Institute for Theoretical Physics, Goethe-Universität Frankfurt

HPC Platform used: JUQUEEN of JSC

Local Project ID: hkf8

Using HPC system resources available at the Jülich Supercomputing Centre, scientists of the Institute for Theoretical Physics of the Goethe-Universität in Frankfurt/Germany are performing extensive simulations to theoretically predict the properties of the phase transition from nuclear matter to a quark gluon plasma state.

Elementary Particle Physics

Principal Investigator: Chik Him Wong , University of Wuppertal (Germany)

HPC Platform used: JUWELS and JUQUEEN of JSC

Local Project ID: chwu33

In the search of new physics, some proposed models fall into the category of nearly conformal Strongly Coupled Gauge Theories (SCGTs). Such theories are identified by the almost existence of non-trivial zero (pseudo infrared fixed point) in their beta functions. In this project, the Lattice Higgs Collaboration quantitatively investigates the beta function of nearly conformal SCGTs and observes how the beta function depends on the number of fermion flavors and representations. This provides insight of how SCGTs approach near conformality, which is crucial in the identification of models suitable for the development of new physics.

Elementary Particle Physics

Principal Investigator: Karl Jansen , Deutsches Elektronen-Synchrotron (DESY), Astroteilchenphysik, Zeuthen (Germany)

HPC Platform used: SuperMUC of LRZ

Local Project ID: pr74yo

Understanding the most inner structure of matter has been a driving force of science sine the idea of an "atom" by the antique Greeks. And, with todays supercomputer power we are now in the fascinating position to finally reveal what holds the world together. As a most important step in this direction, in this project, basic properties of the proton, e.g. the spin, the angular momentum and the quark and gluon content as well as their distribution within the proton have been calculated. This constitutes a pioneering step to understand the nature of matter, the very early universe and ultimatley to answer the question where we are coming from.

Elementary Particle Physics

Principal Investigator: Kálmán Szabó , Forschungszentrum Jülich GmbH (Germany)

HPC Platform used: JUQUEEN of JSC

Local Project ID: chfz03

Researchers of Forschungszentrum Jülich used the computing resources of high-performance computing system JUQUEEN of JSC to improve the understanding of the QCD transition.

Elementary Particle Physics

Principal Investigator: Carsten Urbach , Helmholtz Institut für Strahlen und Kernphysik (Theorie), Rheinische Friedrich-Wilhelms-Universität Bonn (Germany)

HPC Platform used: JUWELS and JUQUEEN of JSC, Hazel Hen of HLRS

Local Project ID: JSC: chbn28; HLRS: GCS-HSRP

It is a long lasting dream in nuclear physics to study nuclei like, for instance, carbon directly from Quantum Chromodynamics (QCD), the underlying fundamental theory of strong interactions. Such an endeavor is very challenging both, methodically and numerically. Towards this goal physicists from the European Twisted Mass Collaboration and in particular the University of Bonn have started to investigate two hadron systems using the approach of Lattice QCD.

Elementary Particle Physics

Principal Investigator: Dr. Stefan Krieg , Forschungszentrum Jülich, Institute for Advanced Simulation, Jülich Supercomputing Centre

HPC Platform used: Hazel Hen of HLRS

Local Project ID: HighPQCD

Nucleons make up more than 99% of the mass of ordinary matter. Computing their properties from first principles, i.e. the theory of Quantum Chromodynamics, is complicated by the non-linear nature of the underlying equations. Only by using supercomputers can we attempt to compute these quantities with the necessary precision. Beyond shedding light on the nature of the nucleons, the results help to resolve some long-standing puzzles in nucleon structure physics and restrict possible models of physics beyond the Standard Model.

Elementary Particle Physics

Principal Investigator: Nora Brambilla , Physik Department T30f, Technische Universität München (Germany)

HPC Platform used: SuperMUC of LRZ

Local Project ID: pr48le

Nuclear matter changes at high temperatures from a gas of hadrons into a quark-gluon plasma. For sufficiently high temperatures this quark-gluon plasma can be described in terms of effective field theory calculations assuming weak coupling. In this project, scientists calculate the QCD Equation of State and the free energies of heavy quark systems using Lattice QCD, a Markov Chain Monte Carlo approach for solving the QCD path integral numerically in an imaginary time formalism. By comparing the continuum extrapolated results to weak-coupling calculations in different EFT frameworks, their applicability is being established.

Elementary Particle Physics

Principal Investigator: Dénes Sexty , Bergische Universität Wuppertal, IAS/JSC Forschungszenturm Jülich

HPC Platform used: JUQUEEN of JSC

Local Project ID: chwu31

In this study the axion particles are investigated numerically. To guide experimental searches of the axion particle, its mass needs to be estimated theoretically. For this one needs to study the creation mechanisms of the axions in the early universe. The axion fields can form topological defects known as cosmological strings, which are highly energetic string-like excitations which decay into axion particles. The axions are created in a phase transition where a large part of the energy builds strings. In this study we follow the fate of the axion-string network to understand how the axion abundance in the universe is created.

Elementary Particle Physics

Principal Investigator: Kálmán Szabó , Institute for Advanced Simulation at Jülich Supercomputing Centre

HPC Platform used: JUQUEEN of JSC

Local Project ID: hjs00

Using the high-performance computing resources available at the Jülich Supercomputing Centre, scientists computed the mass difference between the up and down quarks. The result has been published in Physical Review Letters.

Elementary Particle Physics

Principal Investigator: Ulf-G. Meißner(1) and Timo Lähde(2) , (1)Universität Bonn und Forschungszentrum Jülich, (2) Institute for Advanced Simulation, Forschungszentrum Jülich

HPC Platform used: JUQUEEN of JSC

Local Project ID: jikp05

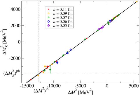
The electric dipole moment of the neutron, measuring the distance of positive and negative charge density in the neutron as shown in the image (left), provides a unique and sensitive probe to physics beyond the Standard Model. It has played an important part over many decades in shaping and constraining numerous models of CP violation. QCD allows for CP-violating effects that propagate into the hadronic sector via the so-called θ term Sθ in the action, S = S + Sθ, with Sθ = i θ Q, where Q is the topological charge. In this project the electric dipole moment dn of the neutron has been computed from a fully dynamical simulation of lattice QCD with nonvanishing θ term. We find dn = −3.9(2)(9) × 10−16 θ e cm, which, when combined with the…

Elementary Particle Physics

Principal Investigator: Dr. habil. Georg Bergner , Theoretisch-Physikalisches Institut, Friedrich-Schiller-Universität Jena

HPC Platform used: JUQUEEN of JSC and SuperMUC of LRZ

Local Project ID: hms19 and pr27ja

Supersymmetry is an important theoretical concept in modern physics. It is an essential guiding principle for the extension of the Standard Model of particle physics and for new theoretical concepts and analytical methods. In this project the supersymmetric version of the strong forces that bind nuclear matter are investigated. These investigations provide new insights for theories beyond the Standard Model and new perspectives for a better understanding of the general nature of strong interactions.

Elementary Particle Physics

Principal Investigator: Francesco Knechtli , Fakultät für Mathematik und Naturwissenschaften, Bergische Universität Wuppertal (Germany)

HPC Platform used: JUWELS and JUQUEEN of JSC

Local Project ID: hwu17

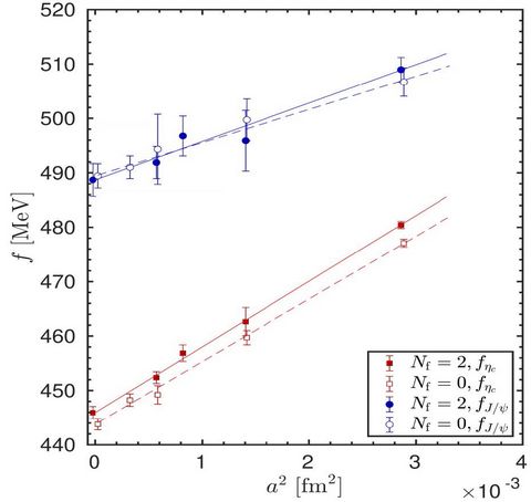
Lattice QCD simulations are often performed only with light sea quarks (up, down, strange). This is a good approximation of the full theory at energies much below the charm quark mass and has provided important results and predictions in Particle Physics. On the other hand, it is not clear if this approximation can also be used to study Charm Physics, which became very interesting in the last few years because of the discovery of unexpected charmonium states in several experiments. In this project, we investigate the effects that the inclusion of a sea charm quark in the simulations of lattice quantum chromodynamics has on several observables of interest, like the charmonium masses and decay constants.

Elementary Particle Physics

Principal Investigator: Hinnerk Stüben , Regionales Rechenzentrum, Universität Hamburg (Germany)

HPC Platform used: JUQUEEN of JSC

Local Project ID: hhh43

The fundamental constituents of the strong nuclear force are quarks and gluons, which themselves bind together to form the familiar building blocks of nuclear physics, protons and neutrons. The two most common forms of quarks are the up quark and the down quark. The quarks carry electric charges +2/3 (up) and −1/3 (down). A proton is composed of two up quarks and one down quark (it has charge +1), whereas the neutron has two down and one up quark (it is charge-neutral). The understanding of the strong nuclear force has now matured to the level where quantitative statements can be made about the role of electric charges on the quark-gluon structure of matter.

Elementary Particle Physics

Principal Investigator: Rainer Sommer , DESY, Zeuthen (Germany)

HPC Platform used: SuperMUC (LRZ), JUQUEEN (JSC)

Local Project ID: pr84mi, hde09

Quarks and gluons form protons and neutrons and thus most of the matter. The strength with which they interact is called the strong coupling. It is one of the fundamental parameters of Nature, but not that well known. Researchers used simulations on a space-time lattices to determine the coupling with good overall precision. The experimental inputs are the masses of pi-mesons and K-mesons as well as their decay rates into leptons (such as electrons), neutrinos and photons. Many simulations and their subsequent analysis were necessary in order to extrapolate to the required space-time continuum in all steps.

Elementary Particle Physics

Principal Investigator: Karl Jansen , Deutsches Elektronen-Synchrotron/DESY, Zeuthen (Germany)

HPC Platform used: JUQUEEN of JSC

Local Project ID: hch02

In the project Lattice QCD simulations were carried out to compute the individual contributions of quarks and gluons to the proton spin which the value ½ in nature. The result confirms the experimental data which has been collected during the past 30 years and which indicates that only a small fraction of the proton spin is carried by the intrinsic spin of the quarks.

Elementary Particle Physics

Principal Investigator: Alberto Martinez de la Ossa and Jens Osterhoff , Deutsches Elektronen-Synchrotron, Hamburg (Germany)

HPC Platform used: JUQUEEN of JSC

Local Project ID: hhh23

Plasma wakefield accelerators (PWAs) can sustain electric fields on the order of 100 GV/m for the acceleration of electrons up to GeV energies in a cm-scale dis-tance. Harnessing such highly-intense accelerating gradients requires precise con-trol over the process of injection of the electron beams. By means of large-scale simulations, this project explored multiple novel solutions for the generation of high-quality electron beams from a PWA, as required for free-electron lasers (FELs). Using PWAs, it is envisaged that miniaturized and cost effective FELs may be constructed, dramatically increasing the proliferation of this technology with revolutionary consequences for applications in biology, medicine, material science and physics.

Elementary Particle Physics

Principal Investigator: Nora Brambilla , Physik Department T30f, Technische Universität München (Germany)

HPC Platform used: SuperMUC of LRZ

Local Project ID: pr48le, pr83pu

Nuclear matter changes at high temperatures from a gas of hadrons into a quark-gluon plasma. For sufficiently high temperatures this quark-gluon plasma can be described in terms of effective field theory calculations assuming weak coupling. We calculate the QCD Equation of State and the free energies of heavy quark systems using Lattice QCD, a Markov Chain Monte Carlo approach for solving the QCD path integral numerically in an imaginary time formalism. By comparing the continuum extrapolated results to weak-coupling calculations in different EFT frameworks, we establish their applicability.

Elementary Particle Physics

Principal Investigator: Georg von Hippel , Institut für Kernphysik, Johannes Gutenberg-Universität Mainz (Germany)

HPC Platform used: JUQUEEN of JSC

Local Project ID: hmz23

Lattice Quantum Chromodynamics (Lattice QCD) is a first-principles, non-perturbative formulation of the theory of the strong interaction that allows for numerical simulations with systematic control of theoretical uncertainties, and which has a long and successful history of providing the information required for a quantitative understanding of strong interaction physics at low energies. Nevertheless, a number of quantities could not be studied so far with the desired level of control of statistical and systematic uncertainties; this includes the hadronic contribution to the anomalous magnetic moment of the muon, a precise determination of which is currently the most promising avenue in the search for physics beyond the Standard Model (SM)…

Elementary Particle Physics

Principal Investigator: Ulf-G. Meißner , Universität Bonn & Forschungszentrum Jülich (Germany)

HPC Platform used: JUQUEEN of JSC

Local Project ID: hfz02

How do neutrons and protons bind to form atomic nuclei? Why do we observe alpha-particle clustering in light and medium-mass nuclei but not in heavy ones? These questions can be tackled in the framework of nuclear lattice effective field theory. These investigations have revealed some intriguing features of nuclei related to much discussed quantum phenomena such as entanglement and quantum phase transitions.

Elementary Particle Physics

Principal Investigator: Francesco Knechtli , Fakultät für Mathematik und Naturwissenschaften, Bergische Universität Wuppertal (Germany)

HPC Platform used: JUQUEEN and JURECA of JSC

Local Project ID: hwu21

Confinement is the observation that quarks cannot be seen in isolation in nature. As a consequence the static potential V(r), which is defined as the energy of of a system made of a static quark and a static anti-quark separated by a distance r, grows linearly with the separation r. When r is large enough, the potential V(r) flattens due to creation of a pair of light quarks, which combine into two static-light mesons. This so called “string breaking” phenomenon provides an intuitive example of a strong decay. It can be studied through the simulation of strong interactions between quarks and gluons on a supercomputer.

Elementary Particle Physics

Principal Investigator: Sara Collins , Institute for Theoretical Physics, Regensburg University (Germany)

HPC Platform used: JUQUEEN of JSC

Local Project ID: hru29

In this project we compute the decay constants of the D and Ds mesons using numerical simulation (Lattice QCD). The decay constants are required in order to extract from experiment the CKM matrix elements, the parameters of the Standard Model of particle physics associated with weak decays. High precision determinations of the CKM matrix elements from a variety of processes are sought in order to uncover hints of physics beyond the Standard Model. A significant systematic arising in Lattice QCD simulations is that due to the finite lattice spacing. We reduce this systematic by simulating at a very fine lattice spacing.

Elementary Particle Physics

Principal Investigator: Andreas Schäfer , Institute for Theoretical Physics, Regensburg University (Germany)

HPC Platform used: JUQUEEN of JSC

Local Project ID: hru28

In this project, properties of two mesons, i.e. particles made up of a quark and an anti-quark, namely the η and the η', are studied by numerically simulating the underlying theory, QCD, on a four-dimensional spacetime lattice. The focus of previous studies was on establishing the masses of these particles, which are intricately related to the so-called axial anomaly. In this project, for the first time, the internal structure of these mesons was simulated too. This can be characterized in lightcone kinematics, which is relevant for collider experiments, by so-called distribution amplitudes (DAs). The normalization of a DA is also known as a decay constant. Four such previously unknown constants have been determined with full assessment of…

Elementary Particle Physics

Principal Investigator: Andreas Schäfer , Institute for Theoretical Physics, Regensburg University (Germany)

HPC Platform used: SuperMUC of LRZ

Local Project ID: pr74po, pr48gi, pr84qe

The main focus of high energy physics research is the search for signals of physics beyond the Standard Model. Many of the experiments built for this purpose involve protons or neutrons (collectively termed nucleons), either in the beam, such as at the Large Hadron Collider at CERN, or within the nuclei of the targets, such as those used for dark matter detection experiments. In order to extract information on the underlying interactions occurring in these experiments between quarks and other fundamental particles, one needs to know the distribution of the quarks within the nucleon. Lattice QCD simulations of the strong interactions between quarks and gluons can provide information on the momentum, spin and angular momentum of these…

Elementary Particle Physics

Principal Investigator: Marcus Petschlies , Helmholtz-Institut für Strahlen- und Kernphysik, Rheinische Friedrichs-Wilhelms-Universität Bonn

HPC Platform used: SuperMUC-NG at LRZ

Local Project ID: pr27yo

Elementary Particle Physics

Principal Investigator: Szabolcs Borsanyi , University of Wuppertal (Germany)

HPC Platform used: JUQUEEN of JSC

Local Project ID: hwu30

Lattice QCD has played a crucial role in the determination of the true equation of state. It is a numerical approach to solve the theory of strong interactions, quantum chromodynamics (QCD), which provides first principles access to the physics of QGP. Lattice QCD assumes thermal equilibrium, where also the equation of state is defined. Researchers calculated this input to hydrodynamics in a succession of projects with the goal to investigate, whether such first principle determination of the (shear) viscosity parameter is possible from lattice QCD.

Elementary Particle Physics

Principal Investigator: Kálmán Szabó , Forschungszentrum Jülich GmbH (Germany)

HPC Platform used: JUQUEEN of JSC and Hazel Hen of HLRS

Local Project ID: hfz00, GCS-MUMA

Supercomputing resources are used to investigate a long standing discrepancy between theoretical calculation and experiment in the case of an elementary particle called muon. This muon magnetic moment puzzle is considered by many as a smoking gun for new physics, ie. something that cannot fit into the current framework of particle physics.

Elementary Particle Physics

Principal Investigator: Hartmut Wittig , Institute for Nuclear Physics and PRISMA Cluster of Excellence, Johannes Gutenberg University of Mainz (Germany)

HPC Platform used: JUQUEEN of JSC

Local Project ID: hmz21

All visible matter around us is made from nuclei, each consisting of protons and neutrons. One of the triumphs of 20th century particle physics is the realisation that protons and neutrons are made from even smaller building blocks, the so-called quarks, which are now regarded as the fundamental constituents of matter. Particles such as the proton and neutron (collectively referred to as baryons) are considered bound states of three quarks. The theory of Quantum Chromodynamics (QCD) describes with very high accuracy the forces that act between these elementary building blocks. However, it remains a great challenge to provide a quantitative description of particles such as the proton and nuclear matter in terms of the underlying interaction…

Elementary Particle Physics

Principal Investigator: Balint Toth , Bergische Universität Wuppertal (Germany)

HPC Platform used: JUQUEEN of JSC

Local Project ID: hwu26

The Universe soon after the Big Bang was hot and full of massless particles, so called fermions and bosons. As it expanded and cooled down particles become massive. They acquired mass from several kinds of mechanisms, which are investigated in detail in heavy-ion collision experiments, and also in theory. Ab-initio theoretical calculations require simulating massless particles on a supercomputer. This is a difficult problem, fortunately with an existing solution, the so-called overlap discretization of fermions. Here we make simulations with overlap fermions using supercomputing power.

Elementary Particle Physics

Principal Investigator: Dénes Sexty , Bergische Universität Wuppertal (Germany)

HPC Platform used: JUQUEEN of JSC

Local Project ID: hwu22

The simulation of nuclear matter at nonzero baryon density presents a notoriously hard problem in lattice QCD. The usual simulation strategies depend on the exploration of the configuration space by interpreting the weight of each configuration in an average as a probability, which is however not valid here as the weight is non positive. This is called the ‘sign problem’ of nonzero density QCD. In this project, the researchers use a method based on the Complex Langevin equation evading the sign problem to map out the phase diagram of nuclear matter.

Elementary Particle Physics

Principal Investigator: Gunnar Bali , Institut für Theoretische Physik, Universität Regensburg (Germany)

HPC Platform used: SuperMUC (LRZ)

Local Project ID: pr94ni

In the quark model mesons are made up of a quark and an antiquark and baryons of three quarks. The theory of the strong interactions, QCD, however, suggests that more complicated structures are possible. New experimental results strongly point at the possibility of tetraquarks, close to strong decay thresholds into two mesons. To understand these structures, simulations are necessary that include these scattering states. For the first time such as study was performed in Lattice QCD, with nearly physical quark masses. First the well-known ρ-resonance was investigated and then the Tetraquark candidate states D*s0(2317) and Ds1(2460).

Elementary Particle Physics

Principal Investigator: Georg Bergner , Theoretisch-Physikalisches Institut, Universität Jena (Germany)

HPC Platform used: JUQUEEN/JURECA (JSC)

Local Project ID: hfu08

In this project, a multi-instutional team of researchers investigated new strongly interacting theories beyond the Standard Model of particle physics. These theories share fascinating but still puzzling features with the strong interaction of nuclear forces. In addition, they offer new phenomena and exotic properties that make them interesting for a more general understanding of the foundations of particle physics.

Elementary Particle Physics

Principal Investigator: Arwed Schiller , Institut für Theoretische Physik, Leipzig University, Germany (QCDSF collaboration)

HPC Platform used: JUQUEEN of JSC

Local Project ID: hlz22

The calculation of sea quark and gluon content of hadrons, which can be traced back to flavour singlet hadron matrix elements, is one of the greatest technical challenges left in lattice QCD. This is due to the fact that the lattice calculation of so-called "disconnected diagrams" is extremely noisy and gives a poor signal. An improved determination of these disconnected contributions was the main aim of this project. For that, physicists of the QCDSF collaboration have proposed an alternative to the conventional three-point function technique (3-pt) for the study of hadron matrix elements in lattice QCD.

Elementary Particle Physics

Principal Investigator: Zoltán Fodor , Bergische Universität Wuppertal (Germany)

HPC Platform used: JUQUEEN of JSC and Hazel Hen of HLRS

Local Project ID: JSC Project ID: hwu08, HLRS Project ID: GCS-POSR

The phenomenology of freeze-out and hadronization in heavy ion collision experiments greatly benefits from the availability of the Hadron Resonance Gas model. This, however, assumes the complete knowledge of the particle spectrum in a broad range. Alas, many of the bound states have not been found yet. In this project, researchers narrow down on the missing states using large scale lattice QCD computations.

Elementary Particle Physics

Principal Investigator: Dénes Sexty , Heisenberg Fellow, Bergische Universität Wuppertal (Germany)

HPC Platform used: SuperMUC of LRZ

Local Project ID: pr84to

The simulation of nuclear matter at nonzero baryon density presents a notoriously hard problem in lattice QCD. The usual simulation strategies depend on the exploration of the configuration space by interpreting the weight of each configuration in an average as a probability, which is however not valid here as the weight is non positive. This is called the ‘sign problem’ of nonzero density QCD. In this project the researchers compare two different simulation strategies which evade the sign problem with very different methods. 

Elementary Particle Physics

Principal Investigator: Zoltán Fodor , Bergische Universität Wuppertal (Germany)

HPC Platform used: JUQUEEN of JSC

Local Project ID: hwu16

A large part of the universe consists of the so called dark matter. This is a form of matter, that interacts only very weakly with the every day, baryonic matter. A candidate for a dark matter particle is the axion. To increase the chances of detecting such a particle, the knowledge of its properties is important. In this project Lattice QCD is used to determine a mass estimate of the axion. This requires the use of supercomputers as well as the invention of new techniques to reduce the computational cost.

Elementary Particle Physics

Principal Investigator: Dénes Sexty , Heisenberg Fellow, Bergische Universität Wuppertal (Germany)

HPC Platform used: JUQUEEN of JSC

Local Project ID: hwu25

The viscosity of a fluid is a measure of its resistance to deformation by shear stress. One of the least viscous fluids ever observed is that of the quark gluon plasma, created in heavy ion collisions. Nevertheless reliably calculating the equilibrium viscosity of the quark gluon plasma remains to be one of the big open challenges in heavy ion physics. In this project, researchers perform simulations to improve on previous estimates of this important quantity.

Elementary Particle Physics

Principal Investigator: Chik Him Wong , University of Wuppertal (Germany)

HPC Platform used: JUQUEEN of JSC

Local Project ID: hwu23

Strongly Coupled Gauge Theories (SCGTs) play an important role in High Energy Physics. Certain SCGTs are nearly conformal, which is a desired property in the search of new physics. The search of such theories requires the study of the beta function. In this project, the Lattice Higgs Collaboration investigates the beta function of SCGTs which are similar to QCD and observed that the beta function decreases with increasing number of fermion flavors. It also provides a quantitative estimate of how close to conformality these theories are, which is crucial in the search of viable models of new physics. 

Elementary Particle Physics

Principal Investigator: Edwin Laermann , Fakultät für Physik, Universität Bielefeld (Germany)

HPC Platform used: JUQUEEN of JSC

Local Project ID: hbi08

Researchers studying subatomic particles that govern our world have long been interested in describing phenomena that happen to the constituents of matter called protons and neutrons, called quarks and gluons, under extreme conditions. Using GCS computing resources, scientists were able to use quantum chromodynamics simulations to reveal that exotic “strange” and “charm” quarks freeze out at roughly the same temperature as the light quarks. In addition, it was found that more strange and charmed bound states should exist than have been detected experimentally thus far.

Elementary Particle Physics

Principal Investigator: Andreas Schäfer , Institut für Theoretische Physik, Universität Regensburg (Germany)

HPC Platform used: SuperMUC of LRZ

Local Project ID: pr84qe

At the Large Hadron Collider at CERN protons are collided at extremely high energies in an effort to detect New Physics, i.e. deviations from Standard Model expectations. These depend on the structure of the colliding protons, and this is largely determined by quantum fluctuations, e.g., by how much of the proton is made up of short lived quark-antiquark pairs. At present the mass fractions are controversial both for light (up, down) and for strange quarks. These (and related) quantities are calculated within Quantum Chromodynamics. The partial results obtained so far hint at inconsistencies of present parametrizations.

Elementary Particle Physics

Principal Investigator: Karl Jansen , Deutsches Elektronen-Synchrotron/DESY, Zeuthen (Germany)

HPC Platform used: Hazel Hen of HLRS

Local Project ID: GCS-nops

Utilizing the approach of lattice QCD, physicists computed key observables with the goal to better understand the inner structure of nucleons. This project addressed in particular the quark and gluon contributions to the spin, the angular momentum, and the momentum of the nucleon while a special focus was laid on the calculation of the scalar quark content of the proton. Such calculations will aid research of physical processes in particle physics and the as yet unknown nature of dark matter.

Elementary Particle Physics

Principal Investigator: Hartmut Ruhl , Faculty of Physics, University of Munich (Germany)

HPC Platform used: SuperMUC (LRZ)

Local Project ID: pr84me

Researchers of the Faculty of Physics at the Ludwig-Maximilians-Universität München leveraged HPC system SuperMUC to investigate the proton driven laser-wakefield acceleration of electrons, and also to simulate the interaction of ultra-intense laser pulses with ultra-thin foils. The applied highly sophisticated Particle-In-Cell computer simulations were meant to contribute to new insights into laser driven proton acceleration. Further findings in this area could help to significantly cut costs for cancer therapy centers.

Elementary Particle Physics

Principal Investigator: Ulf-G. Meißner , Universität Bonn and Forschungszentrum Jülich

HPC Platform used: JUQUEEN of JSC

Local Project ID: hfz02

Lattice simulations of nuclear reactions that are relevant to nucleosynthesis in stars have recently become possible. As a first step, researchers from the Nuclear Lattice Effective Field Theory Collaboration have performed an ab initiocalculation of the low-energy scattering of two alpha particles. This paves the way for a deeper understanding of the element generation and the limits of nuclear stability.

Elementary Particle Physics

Principal Investigator: Kálmán Szabó , Forschungszentrum Jülich, Institute for Advanced Simulation, Jülich Supercomputing Centre

HPC Platform used: JUQUEEN of JSC

Local Project ID: hwu11

The theories of Dark Matter (DM) are formulated in terms of couplings between DM particles and quarks, the elementary particles that build up protons and neutrons. To calculate the prediction of these theories and aid the experimental searches, one has to know the "quark content" of the nucleon, which is roughly speaking the probability of finding quarks in the nucleon. To calculate the nucleon quark content, an international team of researchers performed highly demanding computations on HPC system JUQUEEN of JSC.

Elementary Particle Physics

Principal Investigator: Andreas Schäfer , Institut für Theoretische Physik, Universität Regensburg (Germany)

HPC Platform used: JUQUEEN of JSC, SuperMUC of LRZ

Local Project ID: hru27

To improve the understanding of the quark gluon structure of hadrons extremely demanding (ongoing and planned) experiments have to be complemented by equally demanding numerical simulations. Researchers from the University of Regensburg leveraged the computing power of HPC systems JUQUEEN and SuperMUC for challenging Lattice Quantum Chromodynamics (QCD) simulations for the "Generalized Parton Distributions" (GPDs) of the nucleon.

Elementary Particle Physics

Principal Investigator: Francesco Knechtli , Fakultät für Mathematik und Naturwissenschaften, Bergische Universität Wuppertal (Germany)

HPC Platform used: JUQUEEN and JURECA of JSC

Local Project ID: hwu17

In a joint project of scientists of the Universities of Wuppertal, Berlin, Cambridge and Münster, and of DESY, Zeuthen researchers investigate the effects that the inclusion of a dynamical charm quark in the simulations of lattice quantum chromodynamics has on observables like the charmonium spectrum, the mass of the charm quark and the strong coupling.

Elementary Particle Physics

Principal Investigator: Chik Him Wong , Bergische Universität Wuppertal (Germany)

HPC Platform used: JUQUEEN of JSC

Local Project ID: hwu15

Despite the remarkable success of the Standard Model (SM), it is generally believed that there are phenomena beyond it. One class of Beyond Standard Model (BSM) theories postulates that the observed Higgs boson is indeed a composite particle composed of new subatomic particles bounded by new interactions. In this project, the Lattice Higgs Collaboration (LatHC) investigates the properties of the Sextet model including hadron spectroscopy and how interaction strength varies with probing energy. These findings have recently made the Sextet model one of the highly interesting BSM models.

Elementary Particle Physics

Principal Investigator: Gernot Münster , Institut für Theoretische Physik, Universität Münster (Germany)

HPC Platform used: JUQUEEN and JURECA of JSC

Local Project ID: hhh04

In a joint project of scientists of the Universities of Münster, Bern and Regensburg, and of DESY, Hamburg, researchers investigate the properties of the N = 1 supersymmetric Yang-Mills theory, a theory which has supersymmetry and is part of many models for the physics beyond the Standard Model.

Elementary Particle Physics

Principal Investigator: Laurent Lellouch , National Center for Scientific Research/CNRS & Aix-Marseille University (France)

HPC Platform used: JUQUEEN of JSC

Local Project ID: PRA090

The Standard Model of particle physics is one of the great scientific achievements of the 20th century. After confirmation of the existence of the Higgs boson in 2013, physicists are now keen to see whether there is anything beyond the theory. Scientists of CNRS and Aix-Marseille University have been been using lattice QCD to see whether a certain experimental measurement is indeed a glimpse of new fundamental physics.

Elementary Particle Physics

Principal Investigator: Constantia Alexandrou , University of Cyprus and The Cyprus Institute (Cyprus)

HPC Platform used: SuperMUC of LRZ

Local Project ID: pr010pr

Scientists are leveraging HPC system SuperMUC for state-of-the-art lattice Quantum Chromodynamics (QCD) simulations. Using these Tier-0 computational resources, the team of international researchers has pioneered the calculation of key observables that characterize the structure of protons and neutrons, collectively referred to as nucleons.

Elementary Particle Physics

Principal Investigator: Thomas Grismayer , GoLP/IPFN, Instituto Superior Técnico, Lisboa (Portugal)

HPC Platform used: SuperMUC of LRZ

Local Project ID: pr84yi

Leveraging the petascale computing power of SuperMUC, an international team of researchers performed 2D/3D simulations of laser absorption in dense electron-positron plasmas self-consistently created via electromagnetic cascades. Their numerical findings provide a set of laser parameters to optimize the conversion of optical photons into pairs and gamma rays allowing to mimic extreme astrophysical scenarios and their radiation signatures.

Elementary Particle Physics

Principal Investigator: Gerrit Schierholz , DESY Hamburg (Germany)

HPC Platform used: JUQUEEN of JSC

Local Project ID: hde07

Scientists at Deutsches Elektronen-Synchrotron (DESY) in Hamburg, Germany, included for the first time both Quantum Chromodynamics (QCD) and Quantum Electrodynamics (QED) in a nonperturbative calculation. This allowed the physicists to predict isospin breaking effects in the meson, baryon and quark sectors from first principles, and in particular the n - p mass difference.

Elementary Particle Physics

Principal Investigator: Jorge Vieira , Instituto Superior Técnico, Lisboa (Portugal)

HPC Platform used: SuperMUC of LRZ

Local Project ID: pr89wo

An international team of researchers performed 3D simulations of scenarios relevant to The Proton Driven Plasma Wakefield Acceleration Experiment framed by AWAKE, an accelerator R&D project based at CERN. Their numerical findings provide a set of conditions for which the long proton bunches could propagate stably over arbitrarily long distances, and explore possible experimental configurations that could be relevant to investigate astrophysical scenarios in the lab.

Elementary Particle Physics

Principal Investigator: Andreas Schäfer , Institut für Theoretische Physik, Universität Regensburg (Germany)

HPC Platform used: JUQUEEN of JSC

Local Project ID: hru26

An international team of researchers leveraged the computing power of supercomputer JUQUEEN in the context of a very large international effort in Lattice quantum chromodynamics (QCD). The project addressed important aspects of hadron physics for the very first time respectively with unprecedented accuracy, which would not have been possible without superior high performance computing (HPC) power.

Elementary Particle Physics

Principal Investigator: Jens Osterhoff and Alberto Martinez de la Ossa , Deutsches Elektronen-Synchrotron - DESY, Hamburg (Germany)

HPC Platform used: JUQUEEN of JSC

Local Project ID: hhh23

Researchers from the Deutsches Elektronen-Synchrotron Hamburg (Germany) study and design electron-injection techniques in plasma-wakefield accelerators for the production of high-quality beams suitable for application as free-electron lasers. Since the physics involved in the process cannot be treated analytically in most of the cases of interest, particle-in-cell simulations are required which allow to calculate the response of the plasma electrons to the passage of charged beams and/or high-intensity lasers.

Elementary Particle Physics

Principal Investigator: Stephan Dürr , Institut für Theoretische Physik, FB-C, Universität Wuppertal (Germany)

HPC Platform used: JUQUEEN of JSC

Local Project ID: hwu07

Physicists at the University of Wuppertal harness the supercomputer power of the JSC HPC system JUQUEEN to carry out a computation of the gluonic scales √t0 and w0 in QCD with 2+1+1 dynamical quarks where each of them is taken at its respective physical mass.

Elementary Particle Physics

Principal Investigator: Matthias Steinhauser , Institut für Theoretische Teilchenphysik, Karlsruhe Institute of Technology/KIT (Germany)

HPC Platform used: Hornet and Hermit of HLRS

Local Project ID: NumFeyn

Leveraging the HPC platform of the HLRS, an international team of researchers of the Karlsruhe Institute of Technology, the Deutsches Elektronen-Synchrotron (DESY), and the Moscow State University have computed a precise relation between heavy quark masses defined in the two most commonly used renormalization schemes, the minimal subtraction (MS) and on-shell scheme.

Elementary Particle Physics

Principal Investigator: Zoltán Fodor , Institut für Theoretische Physik, FB-C, Universität Wuppertal (Germany)

HPC Platform used: JUQUEEN of JSC

Local Project ID: hwu09

The typical scale of Quantum Chromodynamics (QCD) is on the level of GeV (giga electron volt), but QCD should also describe nuclear physics, with has a typical scale of MeV (mega electron volt). This three orders of magnitude difference is a precision challenge, which scientists now were able to tackle in the proton-neutron system.

Elementary Particle Physics

Principal Investigator: Hans-Dieter Meyer , Institute of Physical Chemistry, Universität Heidelberg (Germany)

HPC Platform used: Hermit of HLRS

Local Project ID: HDQM-MCT

Using the Heidelberg MCTDH package (Multi Configuration Time Dependent Hartree), Heidelberg based scientists investigated the spectral properties of malonaldehyde. The HPC resources of HLRS in Stuttgart served as computing platform for this project.

Elementary Particle Physics

Principal Investigator: Owe Philipsen , Universität Frankfurt, ITP (Germany)

HPC Platform used: JUQUEEN of JSC

Local Project ID: hkf8

Using GCS HPC system resources, scientists of the Institute for Theoretical Physics of the Goethe-Universität in Frankfurt/Germany are performing extensive simulations to theoretically predict the properties of the phase transition from nuclear matter to a quark gluon plasma state.

Elementary Particle Physics

Principal Investigator: Eric B. Gregory , Institut für Theoretische Physik, FB-C, Universität Wuppertal (Germany)

HPC Platform used: JUQUEEN of JSC

Local Project ID: hwu13

Leveraging the computing power of HPC system JUQUEEN of Jülich Supercomputing Centre, researchers from Bergische Universität Wuppertal (BUW) are using lattice quantumchromodynamics (QCD) to calculate vector meson decay constants fV , where V represents a vector meson such as ρ, ω, φ, etc.

Elementary Particle Physics

Principal Investigator: Alfred Müller , Institut für Atom- und Molekühlphysik, Universität Giessen (Germany)

HPC Platform used: Hermit of HLRS

Local Project ID: PAMOP

Research efforts of an international group of scientists focus on the development of computational methods to obtain quantities that can be measured from the equations of motion that arise for atoms and molecules interacting with electrons or light within a fully quantum description. The theoretical quantum models the researchers use include semi-relativistic or fully relativistic effects in order to obtain accurate results.

Elementary Particle Physics

Principal Investigator: Carsten Urbach , Universität Bonn

HPC Platform used: SuperMUC of LRZ

Local Project ID: pr63po

Symmetries are important concepts in all fields of physics. Interestingly, symmetries are not only important when they are fulfilled, but also when they are broken. A well known example for a broken symmetry is the magnetisation in a ferromagnet. Even though the ferromagnet is on a microscopic level rotationally invariant, a macroscopic magnetisation can be developed. This happens either when an external magnetic field is applied, which gives the system a preferred direction. But it can also happen spontaneously when the ferromagnet is below the so-called Curie temperature, with no external magnetic field involved.

Elementary Particle Physics

Principal Investigator: Jorge Vieira , Instituto Superior Técnico, Universidade de Lisboa (Portugal)

HPC Platform used: SuperMUC of LRZ

Local Project ID: pr89to

The study of novel particle acceleration and radiation mechanisms is important to develop advanced technology for industrial and medical applications, but also to advance our understanding of fundamental scientific questions from sub-atomic to astronomical scales. Particle accelerators, for instance, are widely used in high-energy physics and to generate x-rays for medical and scientific imaging.

Elementary Particle Physics

Principal Investigator: Constantina Alexandrou , University of Cyprus

HPC Platform used: JUQUEEN of JSC

Local Project ID: PRA077

The goal of this project is to understand the properties of elementary particles such as the proton, which forms most of the ordinary matter around us. The fundamental theory that determines the mass and structure of such particles is the strong interaction, one of the four forces known to us, the others being electromagnetism, the weak interaction, and gravity.

Elementary Particle Physics

Principal Investigator: Zoltán Fodor , Institut für Theoretische Physik, FB-C, Universität Wuppertal (Germany)

HPC Platform used: JUQUEEN of JSC

Local Project ID: PRA079

The mass of our visible universe is to a very large part provided by the strong nuclear interaction between elementary quarks, as described by the theory of quantum chromodynamics (QCD). This long standing assumption has been conclusively proven a few years ago utilizing supercomputer resources through an ab-initio computation of the mass of the proton and other composite nuclear particles (hadrons). Since the required precision in these calculations was a few percent, it was then sufficient to ignore all other forces, notably electromagnetism (QED), and make some simplifying assumptions that would have affected the result at the permil level only.

Elementary Particle Physics

Principal Investigator: Enno E. Scholz , Institut für Theoretische Physik, Universität Regensburg (Germany)

HPC Platform used: SuperMUC of LRZ

Local Project ID: pr89ti

In the Standard Model (SM) of particle physics the interactions between the elementary particles are mediated by the strong and electro-weak forces. The strong forces are described by the theory of Quantum Chromodynamics (QCD). QCD forces are mediated by gluons between the quarks, which are the fundamental building blocks of all hadrons, especially the proton and the neutron, and therefore of most matter around us.

Elementary Particle Physics

Principal Investigator: Andreas Schäfer , Institut für Theoretische Physik, Universität Regensburg (Germany)

HPC Platform used: SuperMUC of LRZ

Local Project ID: pr85xi

Lattice QCD (Quantum Chromodynamics) allows to calculate properties of states which are composed of quarks and gluons, called hadrons. The most important hadrons are proton and neutron, i.e. the nucleons, also because many high energy accelerators like the Large Hadron Collider (LHC in CERN, Geneva) are proton-proton colliders such that the reliable interpretation of the observed reactions requires a detailed knowledge of the proton structure.

Elementary Particle Physics

Principal Investigator: Karl Jansen , Deutsches Elektronen-Synchrotron (DESY)

HPC Platform used: SuperMUC (LRZ) and JUQUEEN (JSC)

Local Project ID: PRA073

An international team of scientists leverages the computing power of supercomputers for a very ambitious project which is embedded in the area of elementary particle interactions and in particular the strong interaction of quarks and gluons which is described theoretically by quantum chromodynamics (QCD), a relativistic quantum field theory.

Elementary Particle Physics

Principal Investigator: Andreas Schäfer , Institut für Theoretische Physik, Universität Regensburg (Germany)

HPC Platform used: SuperMUC of LRZ

Local Project ID: pr86te

The validity of Quantum Field Theory (QFT) is proven beyond any reasonable doubt, but at the same time it is clear that the Standard Model is incomplete in many respects (quantum gravity, dark matter, dark energy, CP violation). Also, there are many aspects of the Standard Model, in particular of the QCD (Quantum Chromodynamics) sector which are not yet understood, especially non-perturbative aspects. It is hoped that the combination of dedicated new experiments and Lattice QFT will allow us to improve our understanding of these aspects to the point that even subtle discrepancies between experimental data and theoretical calculations allow to unambiguously identify New Physics.

Elementary Particle Physics

Principal Investigator: Silvano Simula , Istituto Nazionale di Fisica Nucleare (INFN) - Sezione Roma Tre (Italy)

HPC Platform used: JUGENE/JUQUEEN of JSC

Local Project ID: PRA067

Researchers from the three universities of Rome, the universities of Valencia, Paris XI, Groningen, Bonn, and Berlin have formed a team to carry out an extensive study of the physics of mesons containing a beauty quark. The results of this study will allow to address issues relevant for the phenomenology of the so-called flavor sector of the Standard Model (SM) and its possible extensions to New Physics (NP), that are currently under investigation by the LHCb experiment at CERN and will also be studied at the planned super B-factories.

Elementary Particle Physics

Principal Investigator: Jens Osterhoff , Deutsches Elektronen-Synchrotron (DESY), Hamburg

HPC Platform used: JUQUEEN of JSC

Local Project ID: hhh09

Particle accelerators constitute a key technology for the study of the structure of matter. They are driving synchrotrons and free-electron lasers for research in molecular physics, medicine, biology and material science. Moreover, they allow for the construction of particle colliders for high-energy physics to reveal the secrets of the universe at its most fundamental level. Unfortunately, such accelerators are kilometre-scale, billion Euro machines, which severely limits their availability and proliferation.

Elementary Particle Physics

Principal Investigator: Carlo Pierleoni , Universita' dell'Aquila (Italy)

HPC Platform used: Hermit of HLRS

Local Project ID: QMCSim

Quantum Mechanics is the fundamental theory on which our present understanding of the physical world is based. During the last century the “Founding Fathers” have developed the theory and established its fundamental character, and now we are facing the problem of using the laws to predict the behavior of systems of many particles in a wide range of physical conditions, from the ultra-cold states of matter to the extreme conditions of temperature and pressure found in the interiors of planets. This is a phenomenal challenge that can only be attacked by numerical methods.

Elementary Particle Physics

Principal Investigator: Gernot Münster , Institut für Theoretische Physik, FB-C, Universität Münster (Germany)

HPC Platform used: JUQUEEN of JSC

Local Project ID: hhh04

The physics of elementary particles has shown that the known matter is composed of a small number of building blocks. Among them there are the so-called quarks and leptons. The “Standard Model” of particle physics successfully describes these particles and the forces, which act between them, and is in best agreement with the experimental results.

Elementary Particle Physics

Principal Investigator: Szabolcs Borsányi , Institut für Theoretische Physik, FB-C, Universität Münster (Germany)

HPC Platform used: JUQUEEN of JSC

Local Project ID: PRA070

Ordinary matter, such as lead or gold, may feature very peculiar behaviour under extreme conditions. The heated metal melts then evaporates. At even higher temperature the atoms disintegrate, shedding off electrons and become ions. After more heating these ions fall into pieces: protons and neutrons.

Elementary Particle Physics

Principal Investigator: Christian Schmidt , University of Bielefeld

HPC Platform used: JUQUEEN of JSC

Local Project ID: PRA076

Scientists at the European Center for Nuclear Research (CERN) in Switzerland and at the Brookhaven National Laboratory (BNL) in the US are currently undertaking large efforts to smash atomic nuclei with high energy by letting them collide with almost the speed of light. They aim on the creation of a state of matter, the so-called quark gluon plasma (QGP), which existed in the early universe shortly after the big bang.

Elementary Particle Physics

Principal Investigator: Zoltán Fodor , Institut für Theoretische Physik, FB-C, Universität Münster (Germany)

HPC Platform used: JUQUEEN of JSC

Local Project ID: hwu10

Researchers from Wuppertal and Marseilles are using lattice quantum chromodynamics (QCD) to calculate contributions of the strong force to the anomalous magnetic moment of the muon, a heavier cousin of the electron.The result will test the Standard Model (SM), the theory describing known elementary particles and quantum forces.

Elementary Particle Physics

Principal Investigator: Christian Hölbling , Institut für Theoretische Physik, FB-C, Universität Wuppertal (Germany)

HPC Platform used: JUQUEEN of JSC

Local Project ID: hwu11

The strong nuclear force is one of the four known fundamental forces of nature. It is responsible for binding atomic nuclei and their constituents, protons and neutrons, together from elementary particles, the quarks. Quarks come in six flavors, named up, down, strange, charm, bottom, and top. Only the lightest three of them--the up, down, and strange quarks--are typically relevant for everyday life as atomic nuclei almost exclusively contain these three species only.

Elementary Particle Physics

Principal Investigator: Stephan Duerr , Wuppertal University and IAS/JSC at Forschungszentrum Jülich

HPC Platform used: JUQUEEN of JSC

Local Project ID: hwu07

A a team of scientists of the University of Wuppertal under leadership of Dr. Stephan Duerr uses GCS supercomputers for precision tests of the first-row unitarity relation of the Cabibbo-Kobayashi-Maskawa (CKM) matrix.

Elementary Particle Physics

Principal Investigator: Hartmut Wittig , Institute for Nuclear Physics and PRISMA Cluster of Excellence, Johannes Gutenberg University of Mainz

HPC Platform used: JUQUEEN of JSC

Local Project ID: hmz21

A team of researchers, led by Prof. Hartmut Wittig of the University of Mainz, investigates the many facets of QCD in the low-energy regime using GCS supercomputing resources.

Elementary Particle Physics

Principal Investigator: Gerrit Schierholz , DESY, Hamburg (Germany)

HPC Platform used: JUQUEEN of JSC

Local Project ID: hde07

In this project, an international team of scientists under leadership of particle physicist Prof. Dr. Gerrit Schierholz from DESY (Deutsches Elektronen-Synchrotron) run a fully dynamical simulation of QCD + QED on GCS supercomputers.

Elementary Particle Physics

Principal Investigator: Christian Hölbling , Institut für Theoretische Physik, FB-C, Universität Wuppertal (Germany)

HPC Platform used: JUQUEEN of JSC

Local Project ID: hwu09

The dominance of matter over antimatter in our universe is one of the unsolved riddles of present day physics. During the early phases of our universe, matter must have been produced predominantly over antimatter, but the only such process we currently know only affects quarks, the fundamental constituents of the atomic nucleus, and does not provide enough matter dominance.

Elementary Particle Physics

Principal Investigator: Kálmán Szabó , Institut für Theoretische Physik, FB-C, Universität Wuppertal (Germany)

HPC Platform used: JUQUEEN of JSC

Local Project ID: hwu06

Theoretical investigation of matter at extreme high temperatures and densities has a huge importance since this kind of matter is produced in heavy-ion collision experiments.

Elementary Particle Physics

Principal Investigator: Christian Hölbling , Institut für Theoretische Physik, FB-C, Universität Wuppertal (Germany)

HPC Platform used: JUQUEEN of JSC

Local Project ID: hwu09b

With the help of supercomputing, scientists from the University of Wuppertal tackle a key component of Elementary Particle Physics: The fundamental forces of nature.

Elementary Particle Physics

Principal Investigator: Ulf-G. Meißner , Universität Bonn (HISKP) und FZ Jülich (IAS & IKP)

HPC Platform used: JUQUEEN of JSC

Local Project ID: hzh01

Life on Earth is based on carbon that was generated in stars. A special role in the synthesis of carbon is Life on Earth is based on carbon that was generated in stars. A special role in the synthesis of carbon is played by a particular excited state of carbon, the socalled Hoyle state.played by a particular excited state of carbon, the socalled Hoyle state.